
RNase inhibitor, Murine
2023-10-22
Pyrophosphatase, Inorganic (yeast) (PPase, yeast)
2023-11-28ARCA Ammonium Solution


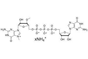
ARCA Ammonium Solution
Product Number: CAP03
Molecular Weight: 817.4 (free acid)
Molecular Formula: C22H32N10O18P3 (free acid)
Appearance: Clear Colorless Solution
Storage Conditions: -20℃
Purity: HPLC≥95%, 100 mM




